Ответы
Ответ дал:
2
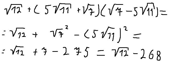
Вроде как так, используется правило
Приложения:

urazkuldusenbaeva:
Рахмет
Вас заинтересует
2 года назад
2 года назад
3 года назад
3 года назад
8 лет назад
8 лет назад