• Предмет: Математика
  • Автор: alikhanzholamanuly09
  • Вопрос задан 8 лет назад

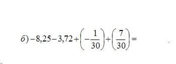
Помогите пжж я в школе сор пишу осталось 20минут чтобы сдать токо этот приер не сделал помогите это вычислить ​

Приложения:

SonyaArmRose: Школа в воскресенье?!

Ответы

Ответ дал: iramazurk
1

Ответ:

Пошаговое объяснение:

1) -8,25 - 3,72 = -11,97

2) -1/30 + 7/30 = 6/30 = 1/5 = 0,2

3) -11,97 + 0,2 = -11,77

Ответ: -11,77


alikhanzholamanuly09: спс, лучший!
Ответ дал: ajgsh
1

Ответ:

Пошаговое объяснение:

-11,97+6/30=-11,77


alikhanzholamanuly09: тоже спс
Вас заинтересует