• Предмет: Алгебра
  • Автор: garkavenkodara3142
  • Вопрос задан 8 лет назад

умоляю вас помогите мне умоляюююю​

Приложения:

Ответы

Ответ дал: olgaua64
0

Відповідь:

Пояснення:

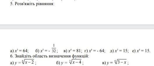
x³=64=4³, тому х=4

х⁵=-1/32=(-2)⁵, х=-2

х⁴=81=3⁴, х=4

х⁶=-64, так як степінь парна, то отримане число має бути>0

x³=15 x=5^(1/3)

x⁴=15, x=15^(1/4)

6. а) х-2>=0. х>=2

б) хєR

в)3-х>=0, х=<3

Вас заинтересует