• Предмет: Алгебра
  • Автор: bassna27032005
  • Вопрос задан 8 лет назад

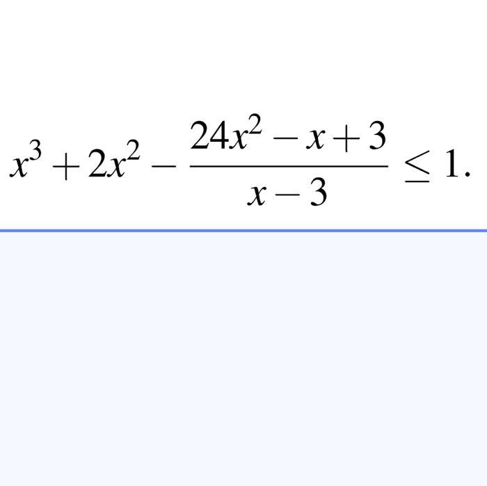
Помогите пожалуйста решить, мне нужно подробное решение с графиком (не из фотомав)

Приложения:

Ответы

Ответ дал: kirichekov
1

Ответ:

х€(-oo;-5]U(3;6]

читать " принадлежит"

 {x}^{3}  + 2 {x}^{2}  -  \frac{24 {x}^{2} - x + 3 }{x - 3}  \leqslant 1

метод интервалов:

1). привести к общему знаменателю

2). разложить на множители числитель и знаменатель

3). найти нули каждого множителя

решение во вложении

Приложения:

bassna27032005: Спасибо большое, ты сделал даже больше, чем я просила очень все подробно, благодарю
kirichekov: успехов вам в учёбе
Вас заинтересует