Помогите пожалуйста решить, мне нужно подробное решение с графиком (не из интернета и не из фотомав)
Приложения:

Ответы
Ответ дал:
1
Ответ:
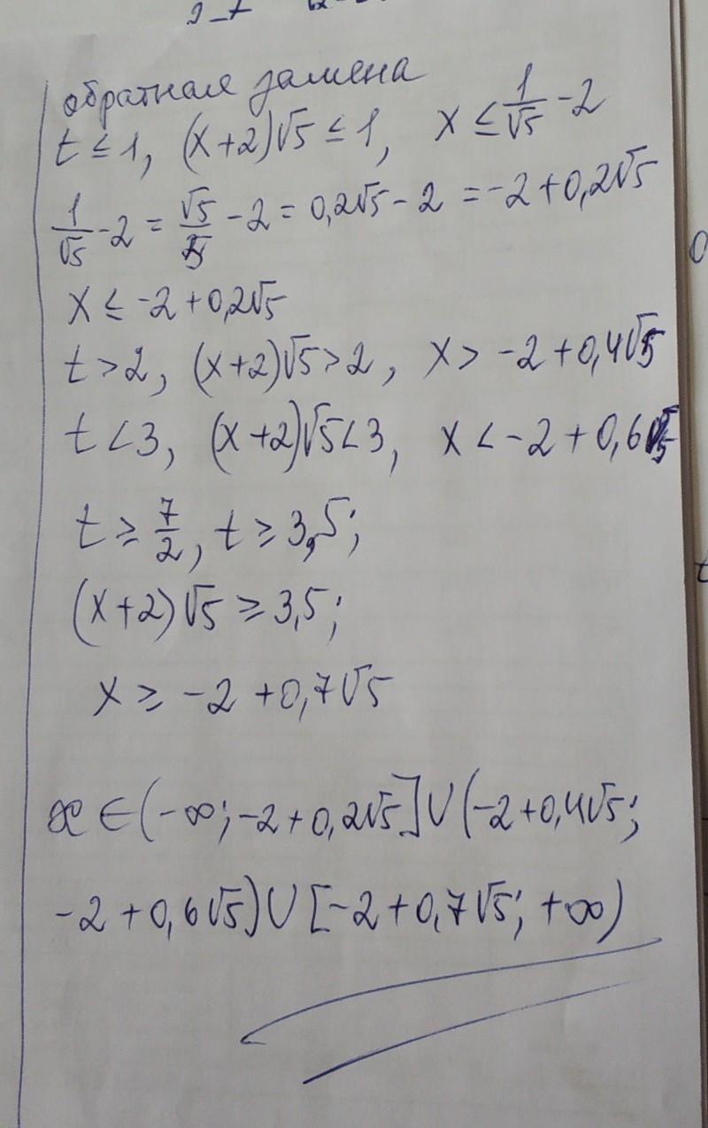
х€(-oo; -2+0,2√5)U(-2+0,4√5; -2+0,6√5)U[-2+0,7√5; +oo)
Объяснение:
решение во вложении
(два фото)
Приложения:


Вас заинтересует
2 года назад
8 лет назад
9 лет назад