Ответы
Ответ дал:
0
Ответ:
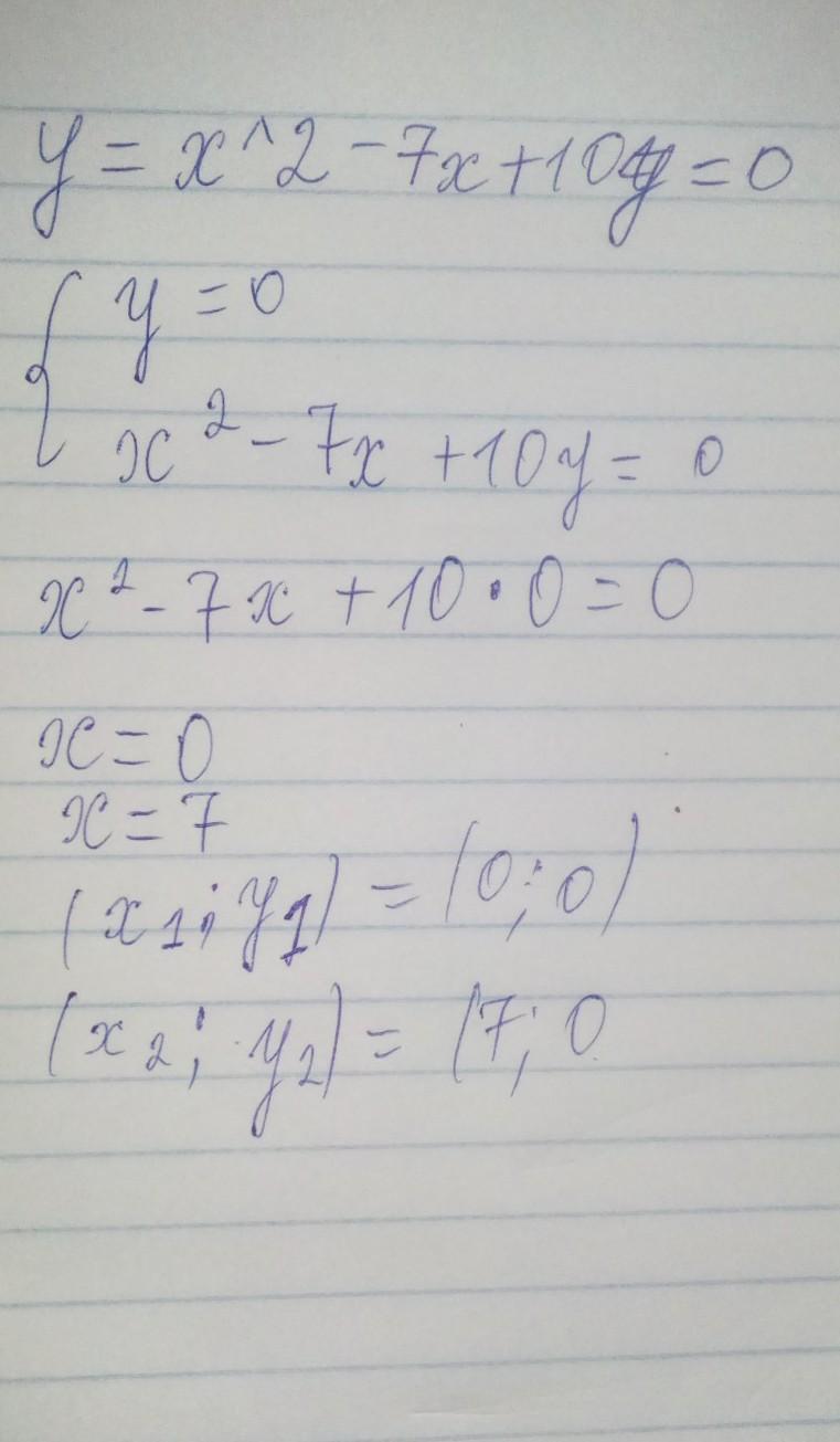
відповідь на фото
Пошаговое объяснение:
ответ на фото
Приложения:

nurzada16:
мне нужно график
Вас заинтересует
2 года назад
3 года назад
3 года назад
8 лет назад
8 лет назад
9 лет назад
9 лет назад