Ответы
Ответ дал:
0
Ответ:
x=∅ я думаю что тебе помогла
Приложения:

soloxaa:
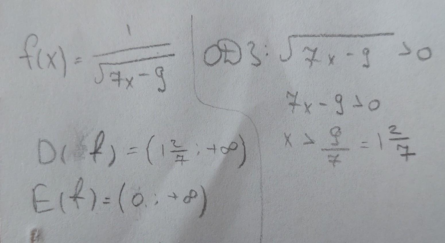
х>9/7
Ответ дал:
1
Пошаговое объяснение:
я знайшла ОДЗ, область визначення і область значення.
Ви не сказали точно що потрібно знайти!
Приложения:

Вас заинтересует
2 года назад
2 года назад
3 года назад
3 года назад
8 лет назад
8 лет назад
9 лет назад
9 лет назад