• Предмет: Алгебра
  • Автор: Аноним
  • Вопрос задан 7 лет назад

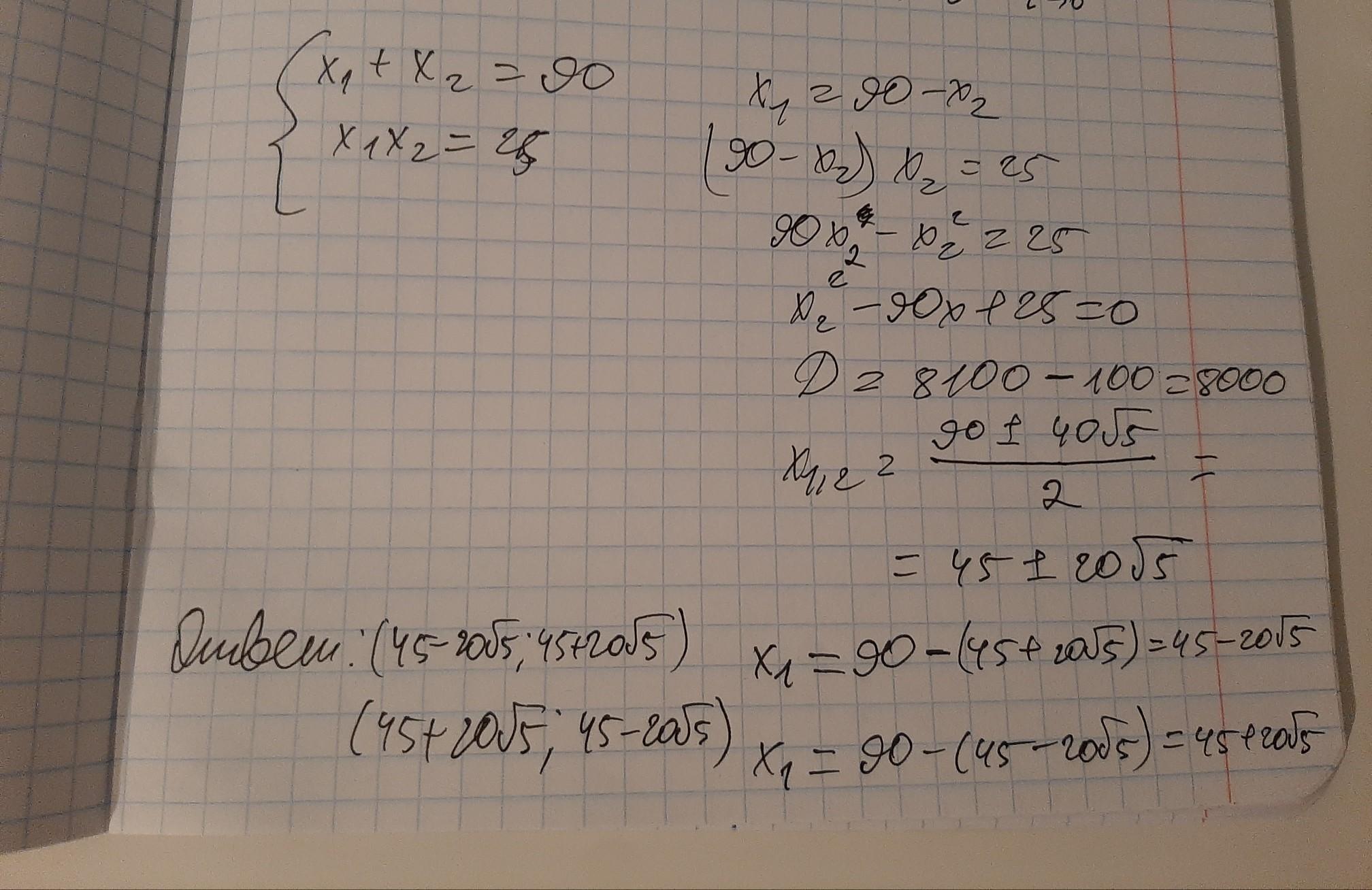
x+x2=90
x1*x2=25

Какие это корни


stalkerbrassko: извеняюсь
stalkerbrassko: Там 85+5=90
stalkerbrassko: Это что система была
Аноним: 81x^2-90x+25<0
Аноним: НАЙТИ ЕГО КОРНЕ ПО ТЕОРЕМЕ ВИЕТА!!
stalkerbrassko: Все же уже там найдено
Аноним: угу
stalkerbrassko: Что?
Аноним: забей
stalkerbrassko: ок

Ответы

Ответ дал: qkeak
2

Ответ:

решение в фотографии.

ответ:

x1 = 45 - 20 \sqrt{5} \\ x2 = 45 + 20 \sqrt{5}

x1 = 45 + 20 \sqrt{5}  \\ x2 = 45 - 20 \sqrt{5}

Приложения:
Вас заинтересует