Ответы
Ответ дал:
0
Ответ:
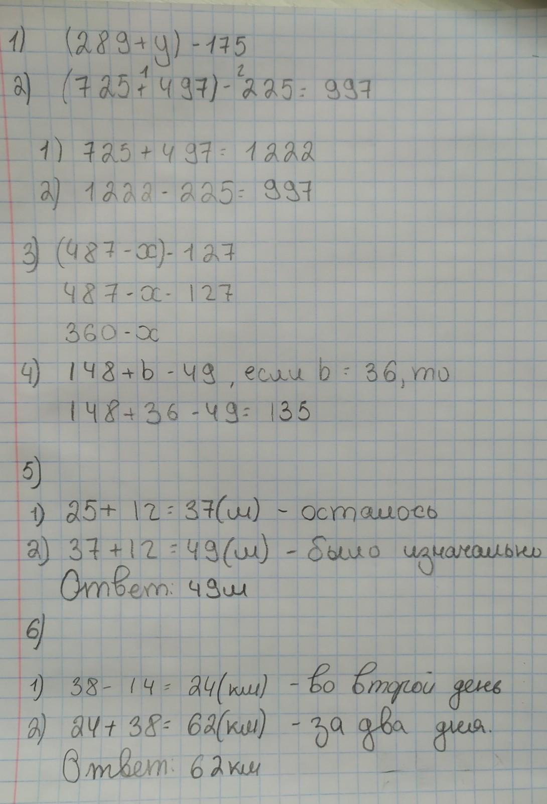
#1 (289+у) - 175
#2 (725+497)-225=997
#3 360-х
#4 135
#5 49м
#6 62км
Приложения:

Вас заинтересует
2 года назад
2 года назад
3 года назад
3 года назад
8 лет назад
8 лет назад
9 лет назад