• Предмет: Алгебра
  • Автор: abarovskaalera
  • Вопрос задан 7 лет назад

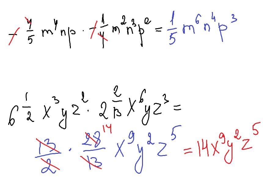
Приведите в стандартный вид одночлены .ПОМНЮ ПОЖАЛУЙСТА СРОЧНО!!! Кто незнает не пишите​

Приложения:

Ответы

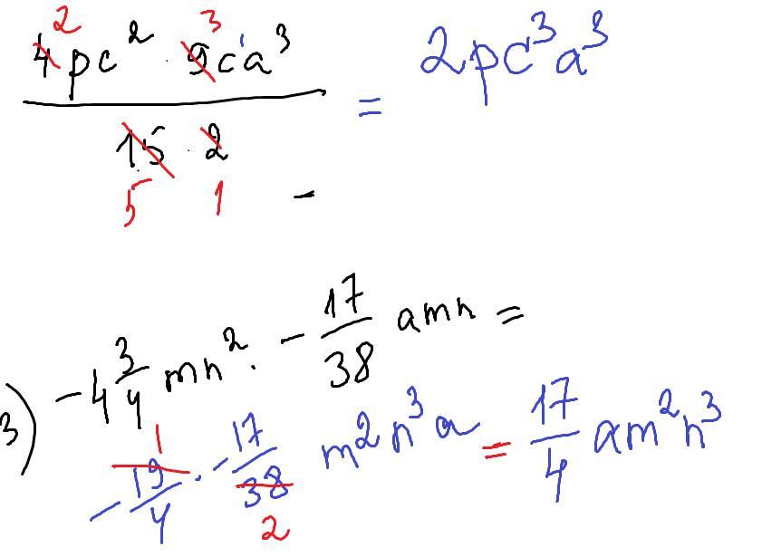
Ответ дал: LetsChess
1

Ответ:

Объяснение:

см.рисунок

Приложения:

LetsChess: в первом неправильно рисунок сохранился, там коэффициент не 2 а 6/5
abarovskaalera: спасибо
Вас заинтересует