Допоможіть:(
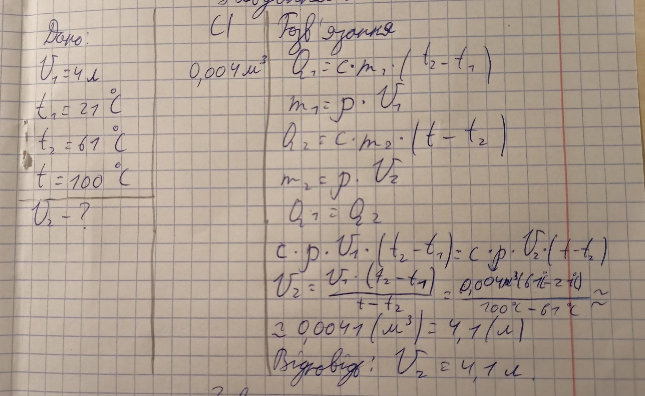
Щоб вимити посуд дівчинка налила в таз 4 літри
ВОДИ температурою 21 °С. Скільки літрів окропу треба Долити, щоб
температура ВОДИ В ньому стала рівною 61 °С?
Ответы
Ответ дал:
4
Объяснение:
вот ответ....................................
Приложения:

Вас заинтересует
2 года назад
3 года назад
3 года назад
8 лет назад
8 лет назад
9 лет назад