Ответы
Ответ дал:
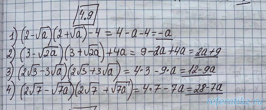
3
Ответ: На, Дерзай, На Здоровье)
Объяснение:
Приложения:

Вас заинтересует
2 года назад
2 года назад
3 года назад
3 года назад
8 лет назад
8 лет назад
9 лет назад
9 лет назад