Ответы
Ответ дал:
0
Ответ:
Ответ дал:
0
Пошаговое объяснение:
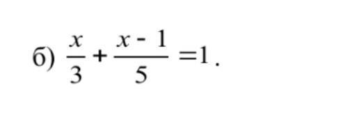
избавляемся от знаминателей,а дальше решаем
Приложения:

Вас заинтересует
2 года назад
2 года назад
3 года назад
3 года назад
8 лет назад
9 лет назад