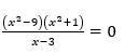
• Предмет: Алгебра
  • Автор: ansofi1208
  • Вопрос задан 7 лет назад

Срочно даю 10 балов
0

3

2

1

Приложения:

Ответы

Ответ дал: ermohinanasta49
0

Ответ:

3

Объяснение:

(9-9)•(9+1) =0

————

3-3


kriskriss42: Это не правильно
ansofi1208: Дай правильный ответ пж
Ответ дал: kriskriss42
0
Если нужен только ответ , то
Ответ: -3
Вас заинтересует