• Предмет: Алгебра
  • Автор: Nurzhan94
  • Вопрос задан 7 лет назад

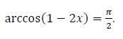
решите уравнение.....................

Приложения:

Ответы

Ответ дал: Аноним
0

////////////////////////////////

Приложения:
Вас заинтересует