Помогите, пожалуйста!
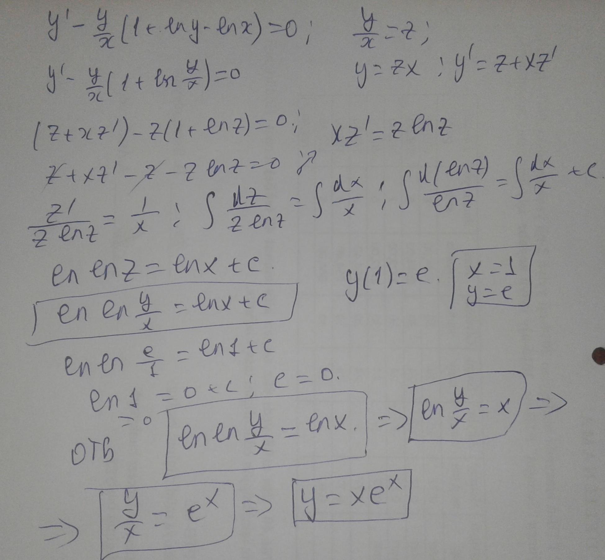
Найти общее решение или общий интеграл дифференциального уравнения.
Решить задачу Коши.
Приложения:

Ответы
Ответ дал:
1
Ответ:
Решено
Пошаговое объяснение:
Приложения:

kobegenovaak110:
помоги мнеее
Вас заинтересует
2 года назад
2 года назад
3 года назад
3 года назад
8 лет назад
9 лет назад