• Предмет: Алгебра
  • Автор: novdi69
  • Вопрос задан 8 лет назад

Помогите пожалуйста ​

Приложения:

Ответы

Ответ дал: gggggggguuuuuutt
0
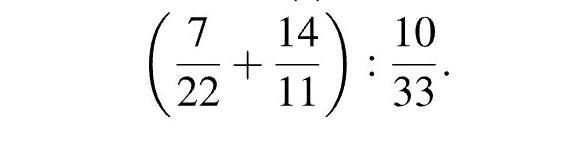
35/22:10/33=35/22•33/10=5,25
Ответ дал: lebedenkos2009
0

Ответ:

5 1/4

Объяснение:

(7/22+14/11):10/33=(7/22+28/22):10/33=35/22:10/33=35/22*33/10=21/4=5 1/4

Вас заинтересует