Ответы
Ответ дал:
1
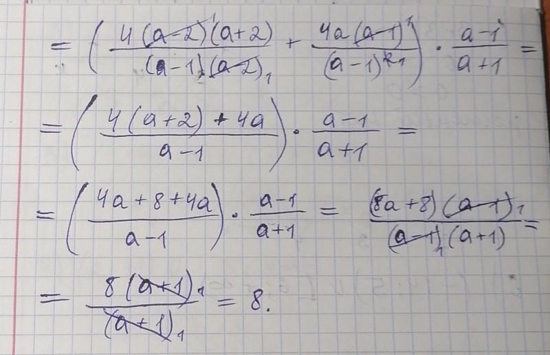
Ответ:
8
Объяснение:
смотреть выше
Приложения:


Вас заинтересует
2 года назад
2 года назад
3 года назад
3 года назад
8 лет назад
8 лет назад
9 лет назад