Ответы
Ответ дал:
1
Ответ:
В решении.
Объяснение:
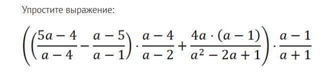
Сразу по действиям:
на фото.
Приложения:

Ответ дал:
1
Ответ: 8
Объяснение: расписала все по действиям
Приложения:


Вас заинтересует
2 года назад
3 года назад
3 года назад
8 лет назад
8 лет назад
9 лет назад