• Предмет: Физика
  • Автор: karen010
  • Вопрос задан 8 лет назад

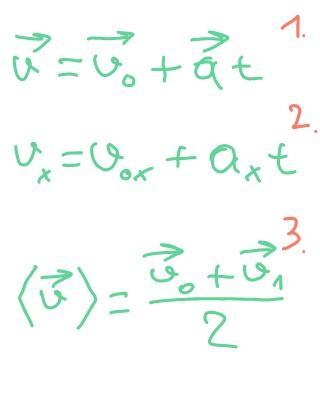
помогите, что обозначают это формулы?​

даю 15 баллов

Приложения:

Ответы

Ответ дал: sofa9695
1

Ответ:

1)векторная форма записи уравнения для нахождения скорости ,по-другому уравнение зависимости V от t

2)то же уравнение в проекциях

3)-

Вас заинтересует