• Предмет: Алгебра
  • Автор: anastasiya1374
  • Вопрос задан 8 лет назад

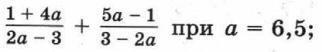
Вычислите значение данного выражения, предварительно упростив его, пожалуйста!!!!

Приложения:

Ответы

Ответ дал: sangers1959
1

Объяснение:

\frac{1+4a}{2a-3} +\frac{5a-1}{3-2a}=\frac{1+4a}{2a-3} -\frac{5a-1}{2a-3}= \frac{1+4a-(5a-1)}{2a-3}=\frac{1+4a-5a+1}{2a-3}=\frac{2-a}{2a-3}=\\\\=\frac{2-6,5}{2*6,5-3} =\frac{-4,5}{13-3} =-\frac{4,5}{10}=-0,45.

Вас заинтересует