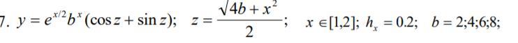
скласти програму
обчислення значення функцій при різних значеннях аргументів, заданих
інтервалом зміни і величиною кроку.
Приложения:
Ответы
Ответ дал:
0
Ответ:
вгагвлар
лвоврчлврлврчтчшрв
Вас заинтересует
2 года назад
2 года назад
3 года назад
9 лет назад
10 лет назад