• Предмет: Математика
  • Автор: alsusha690
  • Вопрос задан 8 лет назад

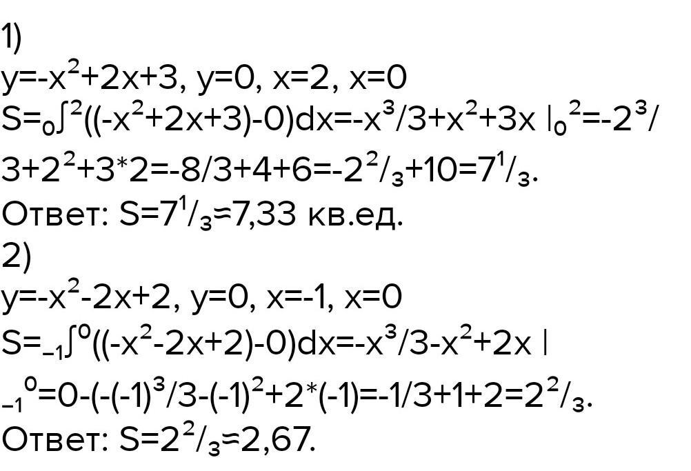
Найти площадь S фигуры, ограниченной линией y=x^2−2x+3. x=3,x=0,y=0 .

Ответы

Ответ дал: kenanmamedov200695
0

Ответ:

вот ответ на картинке, у меня получилось так

Приложения:
Вас заинтересует