• Предмет: Алгебра
  • Автор: berlinvv154
  • Вопрос задан 7 лет назад

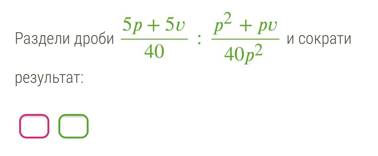
помогите срочно пожалуйста

Приложения:

Ответы

Ответ дал: nedoymnik21
0

Ответ:

в итоге получится 5р ™™™™

Вас заинтересует