Ответы
Ответ дал:
1
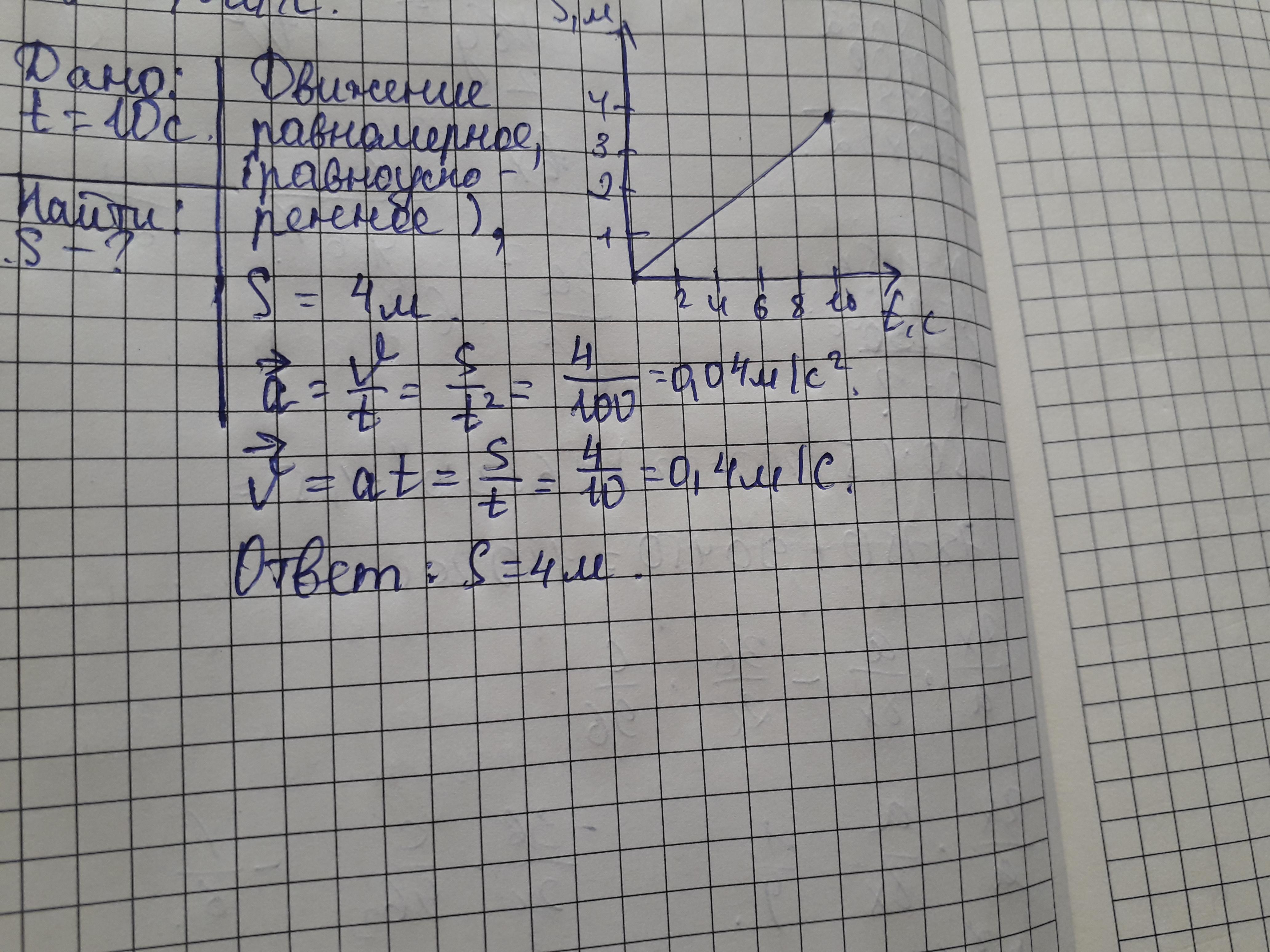
Ответ:
S=4м
Объяснение:
У вас показана на рисунке равноускоренное движение, и тут видно что за 10 с тело прошёл 4 м, с ускорением а=S/t²=0,04м/с², со скоростью 0,4м/с²
Приложения:

darapotapova161:
можете показать как будет выглядить решение на листочке?
Вас заинтересует
2 года назад
2 года назад
3 года назад
3 года назад
9 лет назад