• Предмет: Алгебра
  • Автор: nomero4ek
  • Вопрос задан 8 лет назад

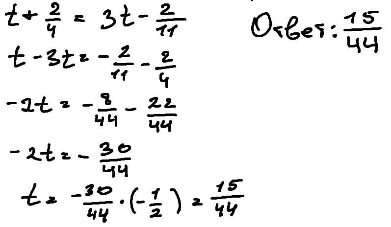
Найди корень уравнения t+2/4=3t−2/11.

Ответы

Ответ дал: skala
0

Ответ:

Фото

Объяснение:

Приложения:
Вас заинтересует