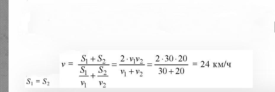
2.Автомобиль двигаясь по дороге из Караганды в Нурсултан 100 километров проехала за 1 час, следующие 76 километров проехала за 45 минут. Рассчитайте среднюю скорость автомобиля на всём пути. (2 балла)
Ответы
Ответ дал:
1
Відповідь:
Пояснення:
Приложения:

Вас заинтересует
2 года назад
8 лет назад
8 лет назад
9 лет назад