Ответы
Ответ дал:
1
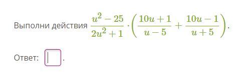
Ответ:10
Смотри решение на фото ниже
Приложения:

Вас заинтересует
2 года назад
3 года назад
3 года назад
8 лет назад
8 лет назад
9 лет назад