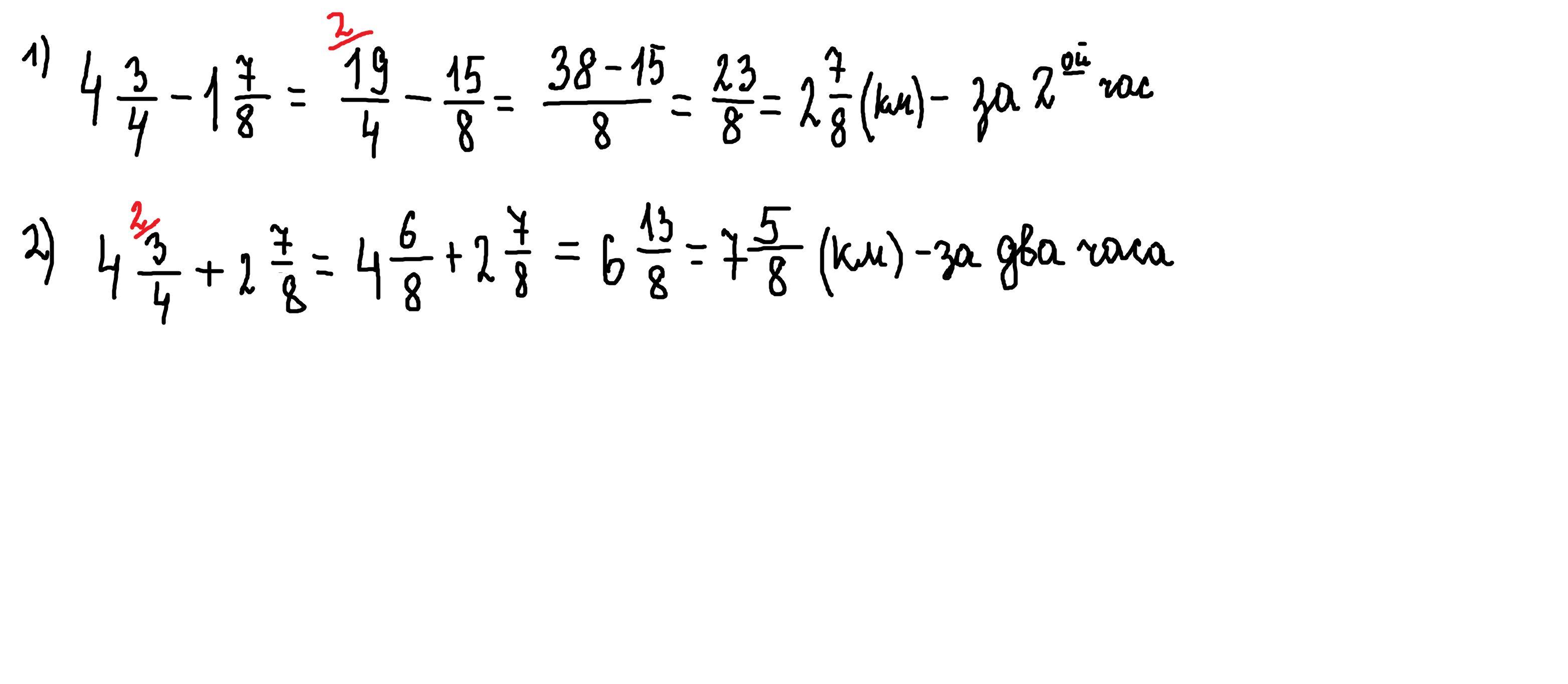
за первый час турист прошел 4 3/4 км а за второй на 1 7/8 меньше.какой путь турист преодолел за 2 часа?
hxiyciyx:
это дроби если что
Ответы
Ответ дал:
0
Ответ:
7 5\8 км преодолел турист за два часа
Пошаговое объяснение:
решение внизу
Приложения:
Вас заинтересует
2 года назад
2 года назад
3 года назад
3 года назад
9 лет назад
9 лет назад
10 лет назад
10 лет назад