Ответы
Ответ дал:
1
Ответ:
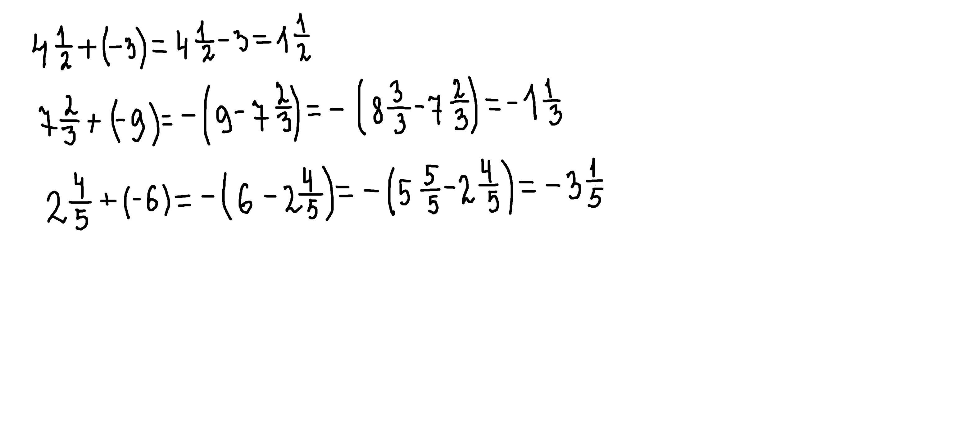
7) -1.5
8) -4/3 или минус одна целая и 1/3
9) -16/5 или минус 3 целых и 1/5
Пошаговое объяснение:
Ответ дал:
0
Ответ:
Пошаговое объяснение:
решение внизу
Приложения:

Вас заинтересует
2 года назад
3 года назад
8 лет назад
9 лет назад