• Предмет: Математика
  • Автор: zilcovaa83
  • Вопрос задан 7 лет назад

помогите пожалуйста
срочно!!!​

Приложения:

Ответы

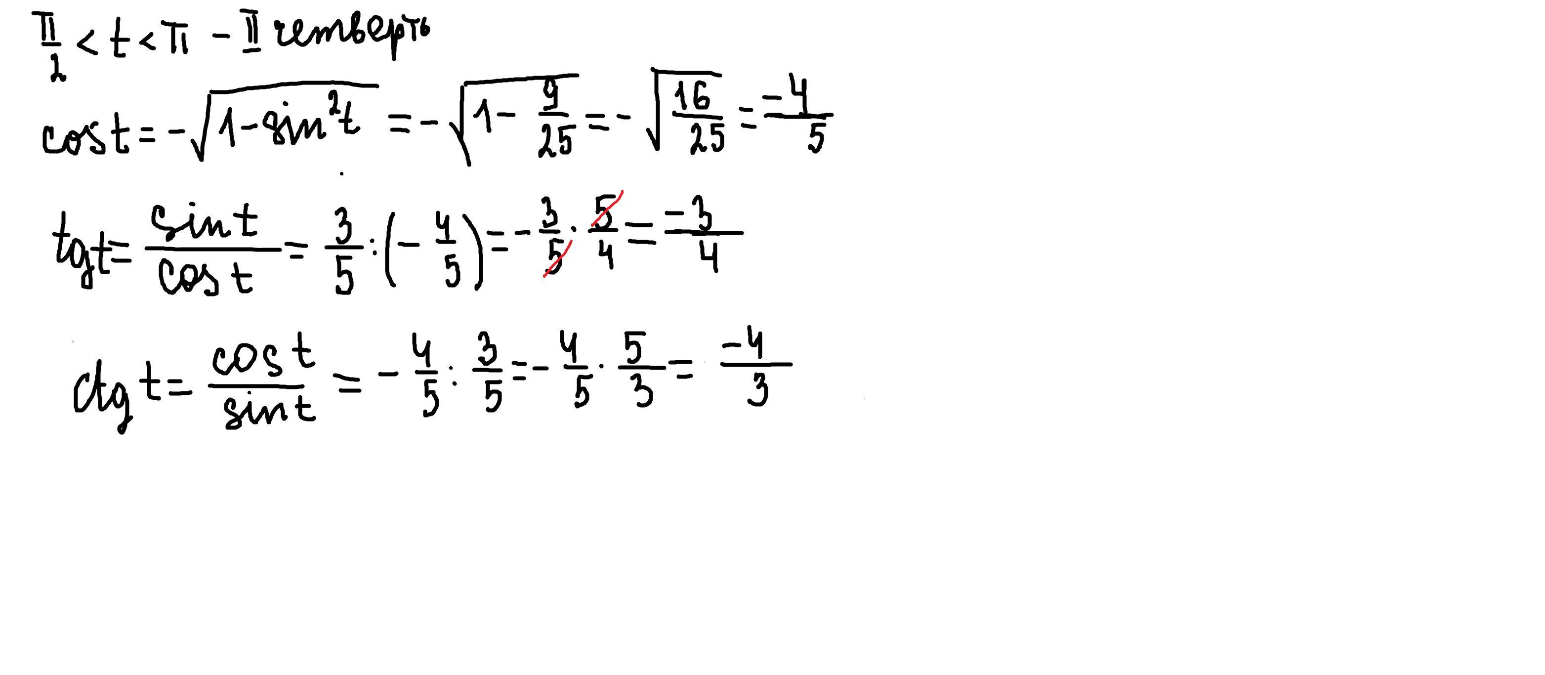
Ответ дал: parus77
1

Ответ:

Пошаговое объяснение:

cost= -4\5

tg t= -3\4

ctg t= -4\3

Приложения:
Вас заинтересует