• Предмет: Алгебра
  • Автор: angelcat938
  • Вопрос задан 8 лет назад

решите уравнения пожалуйста
вариант 1,номер 3 под цифрами(1 и 2)
50 баллов...

Приложения:

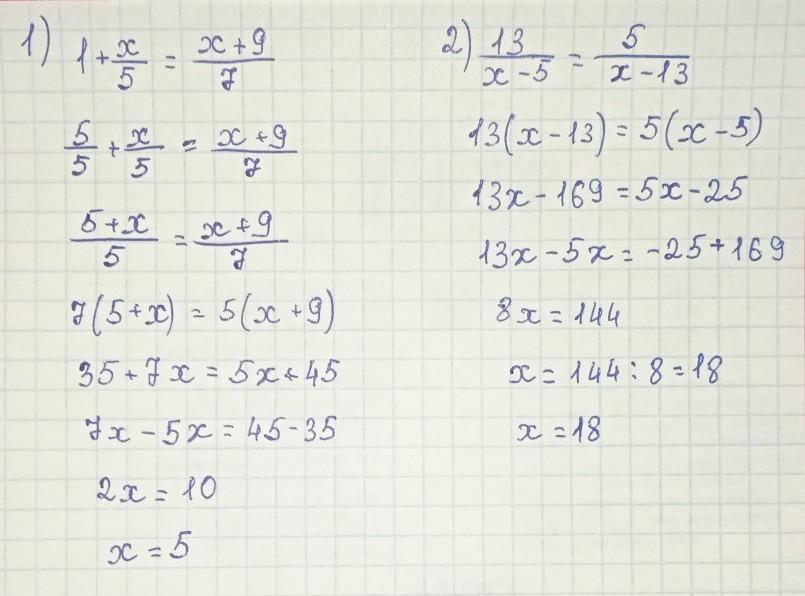
Ответы

Ответ дал: KhMarta
1

Объяснение:

Всё на фото. Если что это пропорции

Приложения:

KhMarta: ♡♡
angelcat938: можно пожалуйста попросить Вас еще решить в первом варианте под заданием 1 (цифры 3 и 4)?♡
angelcat938: https://znanija.com/task/45996275
angelcat938: Извините,если мешаю...просто очень нужна ваша помощь...
KhMarta: Всё решила
KhMarta: Если что обращайся :3
angelcat938: Спасибочки огромное!!!!!!!!!
KhMarta: Если нравится мой ответ можешь пожалуйста отметить его как "лучший ответ"?! :) ♡
angelcat938: конечно,я бы с радостью. но для отметки "лучший ответ" нужно два ответа..с одним ответом не получается выбрать
KhMarta: аа, если честно я не знала об этом ахаха, ну ладно (
Вас заинтересует