Можете пожалуйста помочь с данными логарифмическими уравнениями , заранее огромное спасибо !:)
Приложения:
Ответы
Ответ дал:
0
1 и 2 покаааааааааааааааааааааааааааа
3 и 4
3 и 4
Приложения:
Ответ дал:
0
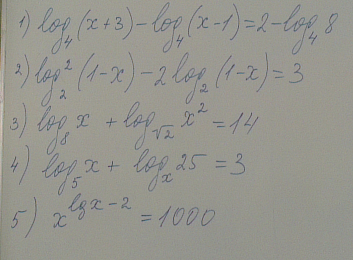
1) Разность логарифмов: log4((x+3)/(x-1)), 2 = log4(16), log4(16/8) = log4(2)
log4((x+3)/(x-1)) = log4(2)
x+3 = 2x - 2
x = 5
2) Замена: log2(1 - x) = t
t^2 - 2t - 3 = 0, D = 4 + 12 = 16
t1 = (2 - 4)/2 = -2/2 = -1
t2 = (2 + 4)/2 = 6/2 = 3
log2(1 - x) = -1, 1-x=1/2, x = 1/2 = 0.5
log2(1 - x) = 3, 1-x=8, x = -7
3) log8(x) = (1/3)*log2(x)
log√2(x^2) = 2*2*log2(x) = 4log2(x)
log2(x) * (1/3 + 4) = 14
log2(x) = 14*2/13 = 28/13
x = 2^(28/13)
4) logx(25) = logx(5^2) = 2logx(5) = 2*(log5(5)/log5(x)) = 2/log5(x) - переход в логарифму с другим основанием
log5(x) + 2/log5(x) = 3
замена: log5(x) = t
t + 2/t = 3
(t^2 + 2)/t = 3
t^2 - 3t + 2 = 0, D = 9 - 8 = 1
t1 = (3 - 1)/2 = 2/2 = 1
t2 = (3 + 1)/2 = 4/2 = 2
log5(x) = 1, x = 5
log5(x) = 2, x = 25
5) logx(10^3) = lgx - 2
3logx(10) = 3*lg10/lg(x) = 3/lg(x)
3/lg(x) = lgx - 2
lg^2(x) - 2lg(x) = 3
lg(x) = t
t^2 - 2t - 3 = 0, D=16
t1 = (2 + 4)/2 = 3, lg(x) = 3, x=1000
t2 = (2 - 4)/2 = -2/2 = -1, lgx =-1, x = 1/10
log4((x+3)/(x-1)) = log4(2)
x+3 = 2x - 2
x = 5
2) Замена: log2(1 - x) = t
t^2 - 2t - 3 = 0, D = 4 + 12 = 16
t1 = (2 - 4)/2 = -2/2 = -1
t2 = (2 + 4)/2 = 6/2 = 3
log2(1 - x) = -1, 1-x=1/2, x = 1/2 = 0.5
log2(1 - x) = 3, 1-x=8, x = -7
3) log8(x) = (1/3)*log2(x)
log√2(x^2) = 2*2*log2(x) = 4log2(x)
log2(x) * (1/3 + 4) = 14
log2(x) = 14*2/13 = 28/13
x = 2^(28/13)
4) logx(25) = logx(5^2) = 2logx(5) = 2*(log5(5)/log5(x)) = 2/log5(x) - переход в логарифму с другим основанием
log5(x) + 2/log5(x) = 3
замена: log5(x) = t
t + 2/t = 3
(t^2 + 2)/t = 3
t^2 - 3t + 2 = 0, D = 9 - 8 = 1
t1 = (3 - 1)/2 = 2/2 = 1
t2 = (3 + 1)/2 = 4/2 = 2
log5(x) = 1, x = 5
log5(x) = 2, x = 25
5) logx(10^3) = lgx - 2
3logx(10) = 3*lg10/lg(x) = 3/lg(x)
3/lg(x) = lgx - 2
lg^2(x) - 2lg(x) = 3
lg(x) = t
t^2 - 2t - 3 = 0, D=16
t1 = (2 + 4)/2 = 3, lg(x) = 3, x=1000
t2 = (2 - 4)/2 = -2/2 = -1, lgx =-1, x = 1/10
Приложения:
Вас заинтересует
3 года назад
8 лет назад
8 лет назад
11 лет назад
11 лет назад
11 лет назад