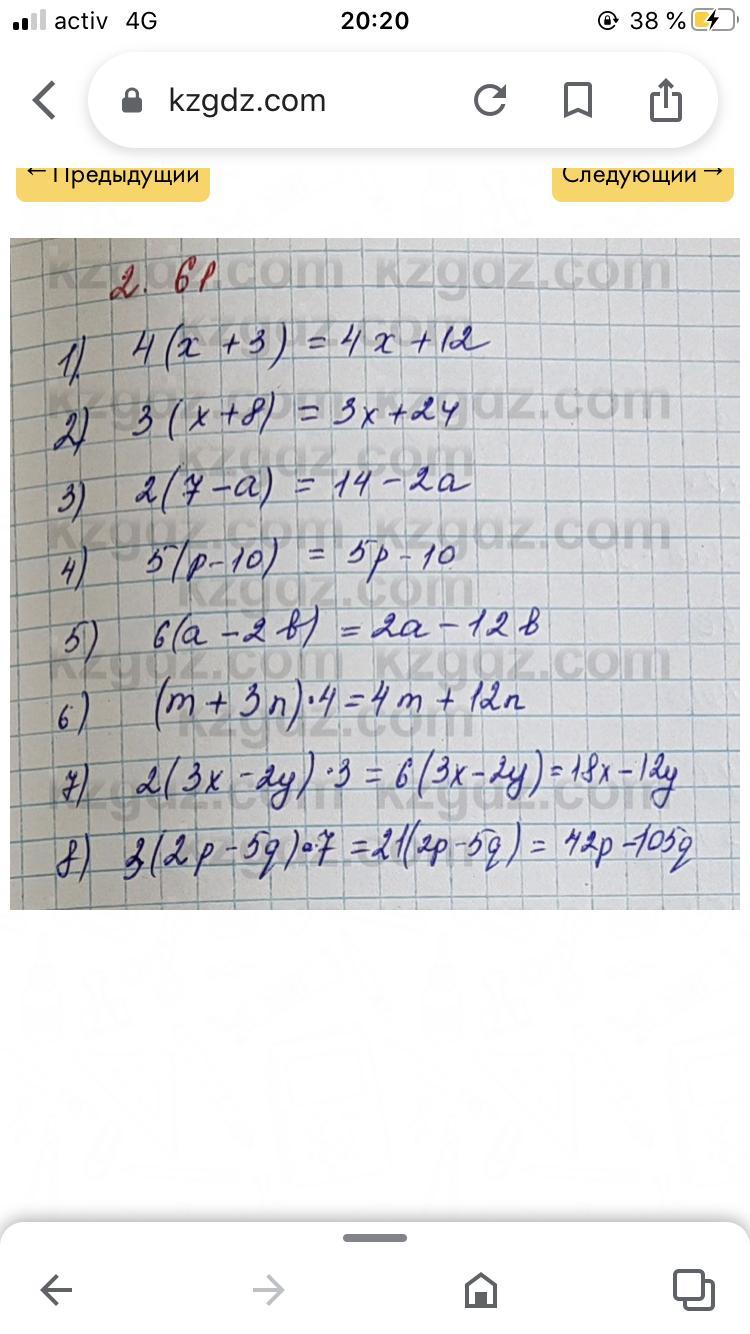
номер 2.61 (чётные) и номер 2. 63 (чётные)
учебник А. Н. Шыныбеков, Д. А. Шыныбеков.
Помогите пожалуйста!!!
tori0201:
7 класс.
Ответы
Ответ дал:
0
Ответ:
Объяснение:эти все правильные
Приложения:



Вас заинтересует
2 года назад
2 года назад
3 года назад
8 лет назад
8 лет назад
9 лет назад