Ответы
Ответ дал:
1
Ответ:
Фото
Пошаговое объяснение:
Приложения:

itsalinaits:
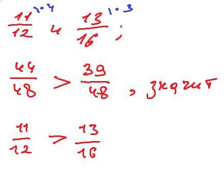
спасибочки! можно ответ на Сравнените дробь 11/12 и 13/16
Ответ дал:
1
Ответ:
11/12>13/16
Пошаговое объяснение:
11/12 13/16
общий знаменатель 48
11/12=44/48
13/16=39/48
44/48 больше чем 39/48
значит 11/12>13/16
Вас заинтересует
2 года назад
2 года назад
3 года назад
8 лет назад
8 лет назад