Помогите решить уровние с корнями!
Приложения:

MikvalSard:
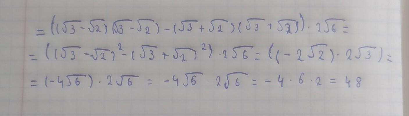
У меня получилось 48. Это правильно?
Ответы
Ответ дал:
1
Ответ:
вот и извеняюсь за хреновый почерк
Приложения:

Вас заинтересует
2 года назад
2 года назад
8 лет назад
9 лет назад