Помогите СРОЧНО!!!!!! 100 БАЛЛОВ!
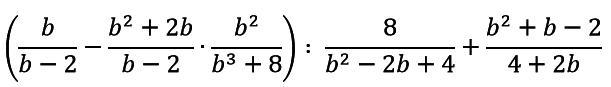
а) Максимально упростите выражение (32 балла).
б) Найдите значение выражения при b = 0,8 (6 баллов).
Приложения:

Ответы
Ответ дал:
1
Ответ:
б) 0.8-2/4= -0.3
Объяснение:
Приложения:

Аноним:
Решение не видно на фото! ((
Вас заинтересует
2 года назад
3 года назад
8 лет назад
8 лет назад
9 лет назад
9 лет назад