• Предмет: Алгебра
  • Автор: fr2008
  • Вопрос задан 8 лет назад

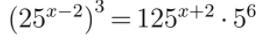
Решите уравнение плиз

Приложения:

Ответы

Ответ дал: cimarnamarina2
1

Відповідь:

Пояснення:

Приложения:
Вас заинтересует