• Предмет: Алгебра
  • Автор: Arsenii2525
  • Вопрос задан 8 лет назад

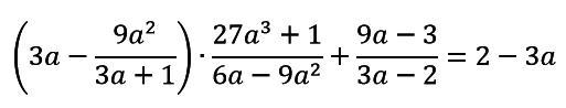
Докажите тождество даю 20 баллов

Приложения:

Ответы

Ответ дал: Alica8love8dance
0

Ответ:

(3a-\frac{9a^{2} }{3a+1} )*\frac{27a^{3}+1 }{6a-9a^{2}}+\frac{9a-3}{3a-2}=2-3a\\\frac{3a*(3a+1)-9a^{2} }{3a+1}*\frac{(3a+1)(9a^{2}-3a+1 )}{3a*(2-3a)}+\frac{9a-3}{3a-2}=2-3a\\\frac{9a^{2} *3a-9a^{2} }{3a+1}*\frac{(3a+1)(9a^{2}-3a+1 )}{3a*(2-3a)}+\frac{9a-3}{3a-2}=2-3a\\9a^{2} *3a-9a^{2}*\frac{9a^{2}-3a+1}{3a*(2-3a)}+\frac{9a-3}{3a-2}=2-3a\\3a*\frac{9a^{2}-3a+1}{3a*(2-3a)}+\frac{9a-3}{3a-2}=2-3a\\a*\frac{9a^{2}-3a+1}{a*(2-3a)}+\frac{9a-3}{3a-2}=2-3a\\\frac{9a^{2}-3a+1}{(2-3a)}+\frac{9a-3}{3a-2}=2-3a\\

\frac{9a^{2}-3a+1}{(2-3a)}-\frac{9a-3}{2-3a}=2-3a\\\frac{(9a^{2}-3a+1)-(9a-3)}{(2-3a)}=2-3a\\\frac{9a^{2}-3a+1-9a+3}{(2-3a)}=2-3a\\\frac{9a^{2}-12a+4}{(2-3a)}=2-3a\\-\frac{9a^{2}-12a+4}{(3a-2)}=2-3a\\-\frac{(3a-2)^{2} }{(3a-2)}=2-3a\\-(3a-2)=2-3a\\-3a+2=2-3a\\2-3a=2-3a

Объяснение:

Вас заинтересует