• Предмет: Алгебра
  • Автор: n2u8dji922
  • Вопрос задан 7 лет назад

Пожалуйста, упростите выражение. даю все баллы

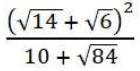
Приложения:

Ответы

Ответ дал: bb573878
1

Ответ:

2

Объяснение:

\displaystyle\bf\\\frac{(\sqrt{14}+\sqrt{6})^2} {10+\sqrt{84} } =\frac{14+2\sqrt{14}\cdot \sqrt{6} +6} {10+\sqrt{84} } =\\\\\\=\frac{20+2\sqrt{14\cdot6} } {10+\sqrt{84} } =\frac{2(10+\sqrt{84}) }{10+\sqrt{84} } =2

Ответ дал: Аноним
1

Объяснение:

 \frac{( \sqrt{14}  +  \sqrt{6 }) {}^{2}  }{10 +  \sqrt{84} }  =  \frac{14 + 2  \sqrt{84} + 6 }{10 + 2 \sqrt{21} }  =  \frac{14 + 4 \sqrt{21} + 6 }{2(5 +  \sqrt{21}) }  =  \frac{20 + 4 \sqrt{21} }{2(5 +  \sqrt{21} )}  =  \frac{4(5 +  \sqrt{21} )}{2(5 +  \sqrt{21} )}  = 2

Вас заинтересует