• Предмет: Алгебра
  • Автор: ibocaro3434v80
  • Вопрос задан 8 лет назад

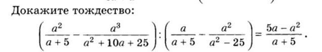
Докажите тождество ПОЖАЛУЙСТА СРОЧНО

Приложения:

Ответы

Ответ дал: ibocarov83430
0

Ответ:

sghsghdsghddtrd

Объяснение:

ddfgfdedhdefhbgfdrbhrfgbrt

etrijhblpidujolhkdndshb

hrfbkjiklogbtfgbgsfr

bvwsrtuijntrpgbklrbhbr

b 8ujgioutrjg reithg9rieg eirtguhwetgijrt gweitrgjwh tpg

Вас заинтересует