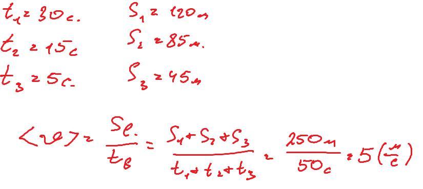
2. Первые 30с автомобиль проехал 120 м, следующие 15c - 85 м, а затем 5c — 45 м. Найдите среднюю скорость автомобиля на протяжении всего пути.
Ответы
Ответ дал:
0
Ответ:
Фото
Объяснение:
Приложения:

elv1z:
кнш хорошо но он ток 7 класс ему надо что то попроще
Ответ дал:
0
Ответ:
5м/с
Объяснение:
1)120+85+45=250м - путь
2)30+15+5=50с время
3)250:50=5м/с
Вас заинтересует
2 года назад
2 года назад
3 года назад
8 лет назад
8 лет назад
9 лет назад