• Предмет: Алгебра
  • Автор: boringcorgi
  • Вопрос задан 8 лет назад

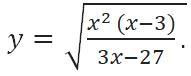
Найдите область определения функции

Приложения:

xurshedxon23: отметьте как лучший ответ пожалуйста

Ответы

Ответ дал: xurshedxon23
0

Ответ:

ответ

первый х=0

второй х=3

Вас заинтересует