• Предмет: Математика
  • Автор: olegmoiseev963
  • Вопрос задан 8 лет назад

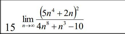
Найти пределы последовательностей.

Приложения:

Ответы

Ответ дал: ALPHAPOPAKAKAMAKA
0

n^(2){1+3/n+5/n^2}/n^(2){2 + 5/n +7/n^2} = (1+3/n + 5/n^2)/(2+ 5/n + 7/n^2) . Now, take the limit as n → inf. , It gives its value = 1/2

Вас заинтересует