Решите пожалуйста, там числовые выражения вроде как и буквенные.
Это алгебра 7 класс
Приложения:

Ответы
Ответ дал:
0
Ответ:
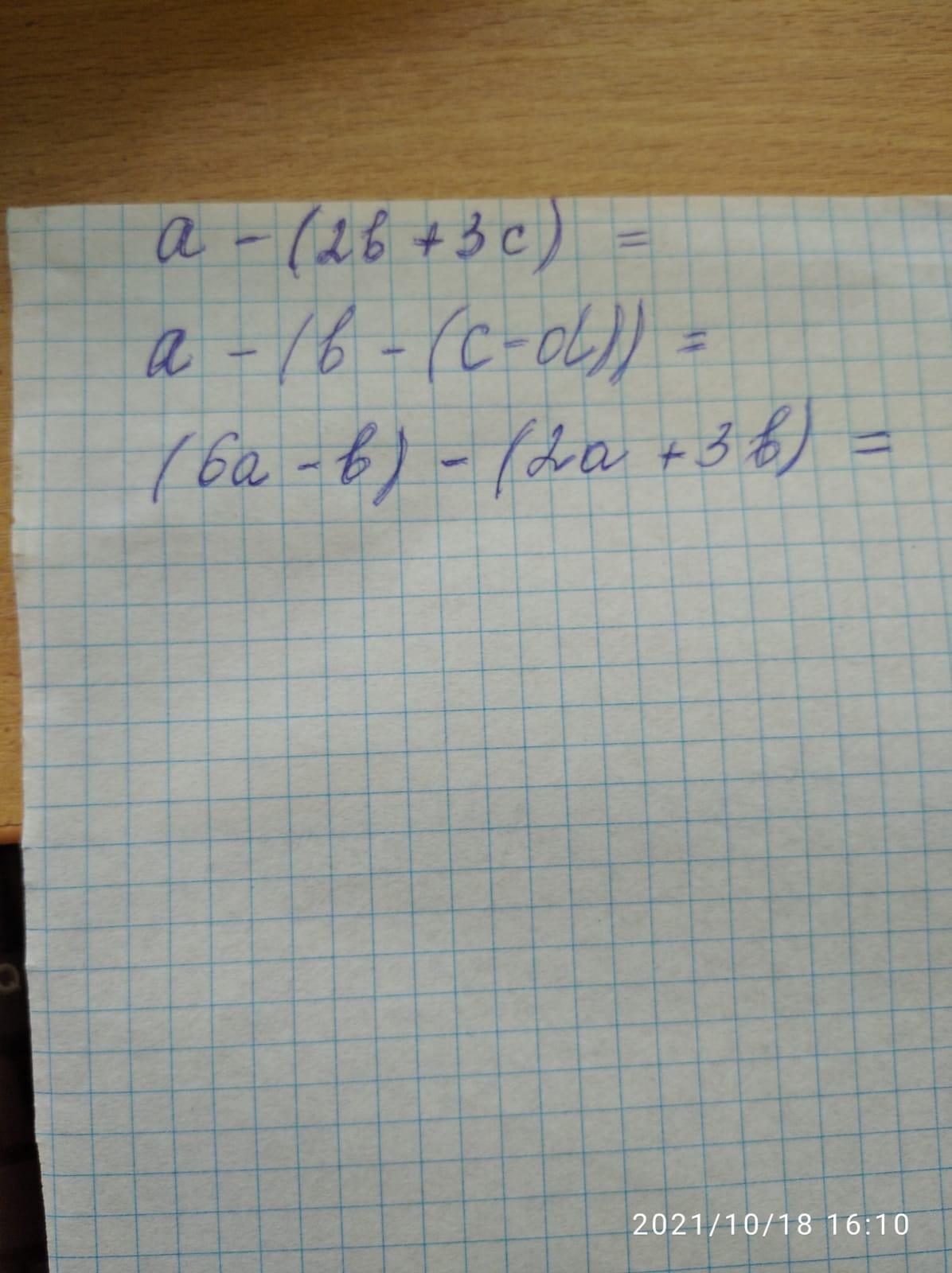
я так поняла задание на раскрытие скобок
a-2b-3c
a-(b-c+d)=a-b+c-d
6a-b-2a-3b
TYUUUUUUuuuu:
в третьем окончательный ответ 4а-4b
Ответ дал:
1
Ответ:
1.a-2b-3c
2.a-b+c-d
3.4a+4b
Объяснение:
1.a-(2b+3c)=a-2b-3c
2.a-(b-(c-d))=a-(b-c+d)=a-b+c-d
3.(6a-b)-(2a+3b)=6a-b-2a-3b=4a+4b
Вроде так
Вас заинтересует
2 года назад
2 года назад
3 года назад
3 года назад
8 лет назад
9 лет назад