• Предмет: Математика
  • Автор: Nakulika64
  • Вопрос задан 8 лет назад

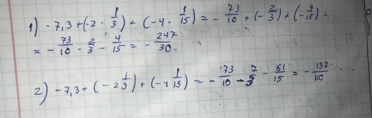
-7,3+(-2 1/3) + (-4 1/15) СОР ПЖЖЖЖ ПО ДЕЙСТВИЯМ​

Ответы

Ответ дал: shkolyar42
2

Ответ:

два варианта ответа, не ясно у тебя умножение в скобках или полностью дробь, сделал и так и так

Пошаговое объяснение:

Приложения:

Nakulika64: ОГРОМНОЕ СПАСИБО ♥️
Ответ дал: miroliv357
1

Ответ:

13,7 (если нужно прям очень очень подробно, то просто в онлайн калькулятор вбей пример и там всё будет)

Приложения:

Nakulika64: спасибочки
Вас заинтересует