• Предмет: Алгебра
  • Автор: sulykdenis
  • Вопрос задан 7 лет назад

Помогите пожалуйста:
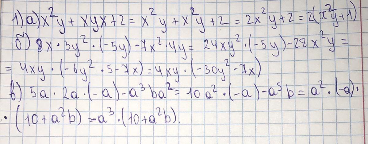
1. а) x²y+xyx+2;
б)8х•3у²•(-5у)-7х²•4у;
в)5а•2а•(-а)-а³ba².
2. a)8b³-3b³+17b-3b³-8b-5;
б)3p²+5pc-7c²+12p²-6pc;
в)3a²-5a²-11a-3a²+5a+11.

Ответы

Ответ дал: aikuna69
1
сделала только первую
Приложения:
Вас заинтересует