Ответы
Ответ дал:
0
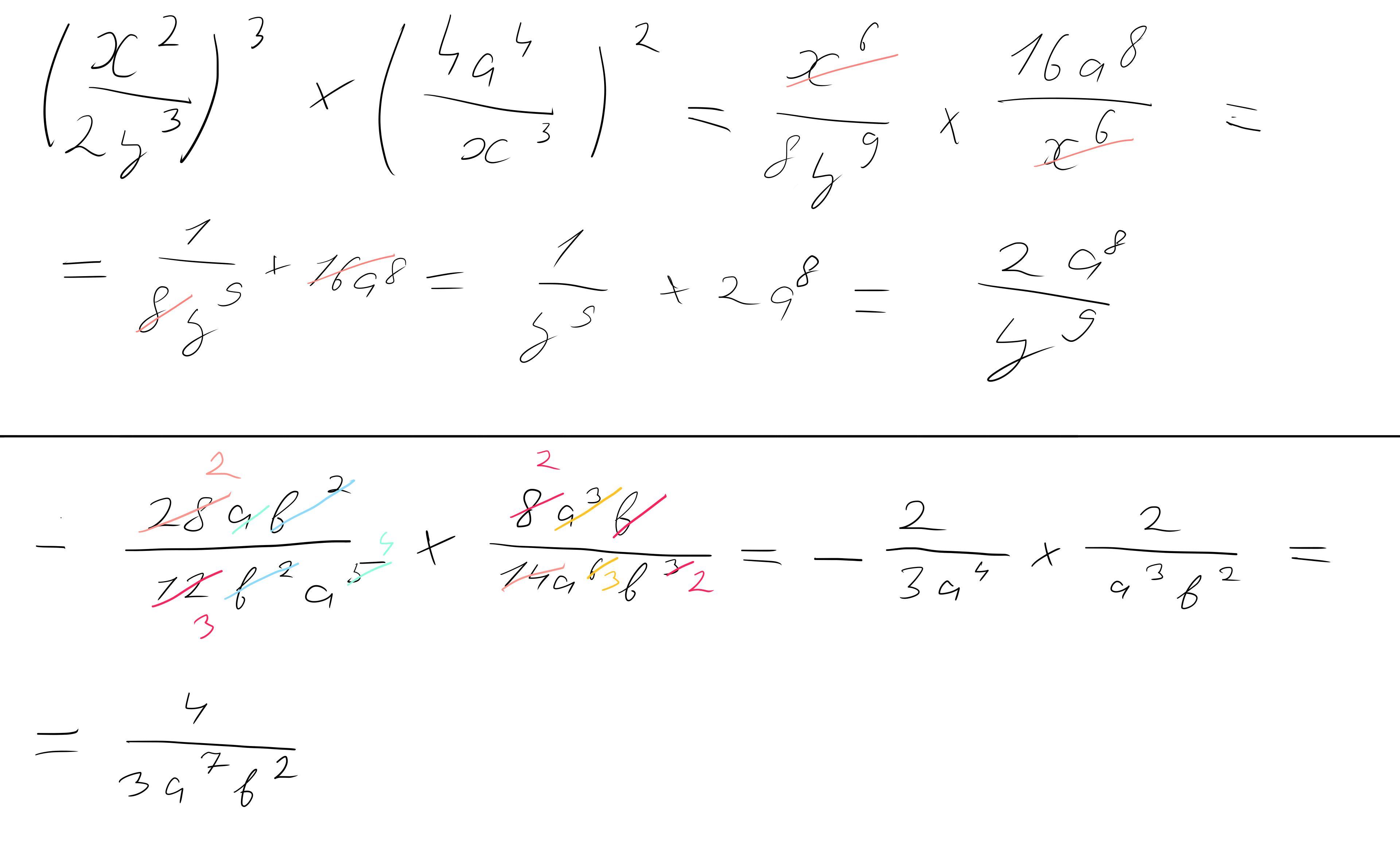
Ответ:
1) 2a^8/y^9 2) 4/3a^7b^2
Объяснение:
Приложения:

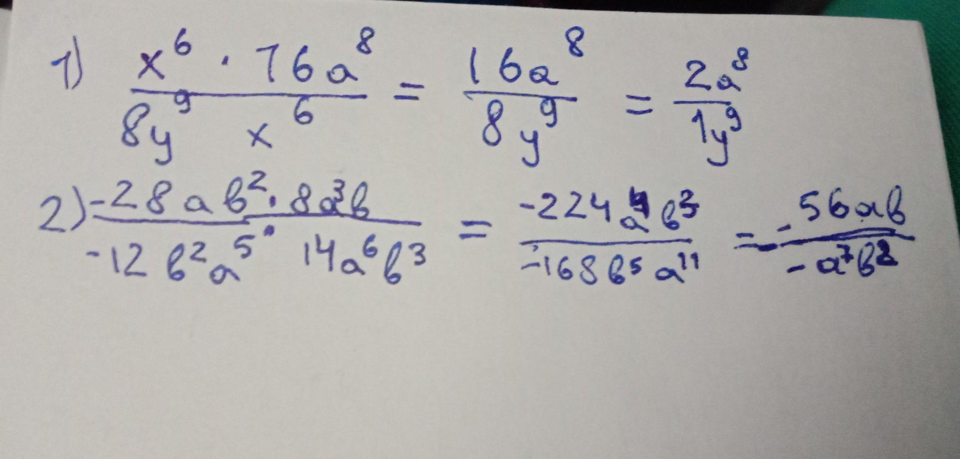
Ответ дал:
0
1) избавляемся от х и сокращаем дробь
2) решаем и тоже сокращаем дробь
Приложения:

Вас заинтересует
2 года назад
3 года назад
3 года назад
8 лет назад
8 лет назад
9 лет назад
9 лет назад