• Предмет: Математика
  • Автор: crazytheory6
  • Вопрос задан 8 лет назад

Логарифмы
Опубликуйте, пожалуйста, ответ в форме решения.

Приложения:

Ответы

Ответ дал: dobra888
1

Ответ:

Пошаговое объяснение:

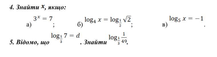
4 . а ) 3ˣ = 7 ; ----> log₃( 3ˣ ) = log₃7 ; ---->  xlog₃3 =  log₃7 ; ----> x =  log₃7 ;

б ) log₄x = log(1/2)√2 ; ----> log₄x = log(1/2)[1/2]^(- 1/2 ) ; ---->  log₄x = - 1/2 ; --->

---->  x = 4^(- 1/2 ) ;  ---->  x = 1/√4 = 1/2 ;     x = 1/2 ;

в )  log₅x = - 1 ; ---->  x = 5⁻¹ = 1/5 = 0,2 ;   x = 0,2 ;

5 .  Якщо  log(1/3)7 = d ,  то    log(1/3)[ 1/49 ] = log(1/3)7⁻² = - 2* log(1/3)7 = -2d.

В - дь :  - 2d .


kuanysnri077: 100 БАЛЛОВ ОТДАМ!
Уважаемые NNNLLL54!
Мне помогите пожалуйста!
100 баллов отдам!
sharipdirbek1980: Срочно помогите пожалуйста умоляю
Вас заинтересует