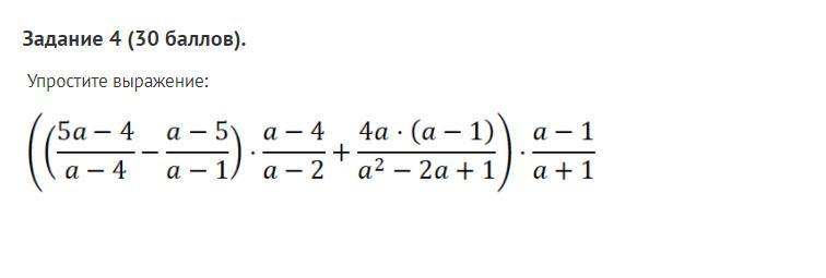
Ответы
Ответ дал:
2
Ответ:
Объяснение:
https://znanija.com/task/45835612
Приложения:

sharipdirbek1980:
Срочно помогите пожалуйста умоляю
Вас заинтересует
2 года назад
3 года назад
8 лет назад
8 лет назад
9 лет назад